众淼控股 (01471.HK)又玩套路回拨,公配超购16倍回拨12.34%——新股配售情况
$众淼控股(01471)$ 暗盘上市的情况:
众淼控股 (01471.HK) 辉立暗盘以7.20港元高开,2分钟冲到最高价7.79港元,之后再大幅回落至最低价7.10港元,又震荡攀升,在7.24港元附近横盘整理,尾盘以7.22港元收盘,涨幅3.14%,振幅9.86%!
TGM暗盘涨7.14%,涨幅最大,0945在第一净买入席位,净买入金额超28万港元,再看看众淼控股 (01471.HK) 配售情况!
(图片来自aipo)
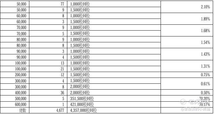
众淼控股 (01471.HK) 招股最终定价7.00港元,在招股价7.00港元-10.20港元的下限价,2.47亿港元的募资,9.88亿港元的总市值,H股市值2.47亿港元,发行比例25.00%。配售情况:4677人认购,这次公配16.07倍,由于超过15倍,回拨比率12.34%(按理说是回拨30.00%),国配有0.98倍,国配不足额,一手中签率50.00%,认购10手才必中1手,同时乙组6人申购,其中顶头槌申购0张,获配率70.17%-70.30%!
众淼控股 (01471.HK) 的乙组官方披露的中签名单里有5人中签351500股,有1人中签421000股。
下面这个是公开资料的乙组官方披露的中签名单:
2202**19880*06091* 351,500
3303**19900*13025* 351,500
3307**9 351,500
3702**19890*15502* 351,500
R470**4(8) 351,500
6101**19920*27708* 421,000
然后看看国配的情况
众淼控股 (01471.HK) 国际配售总共 112个人,认购额0.98倍,国配总共才112人啊,除去三个基石,只剩下8人是拿着大货的。
众淼控股 (01471.HK) 国配货是很集中,前25大承配人上市后所持股份数目占上市后已发行股份总数21.88%,众淼控股 (01471.HK) 这个票稳价人是中信里昂证券有限公司,没有绿鞋。
免责声明:上述内容仅代表发帖人个人观点,不构成本平台的任何投资建议。


