辉瑞半夜炸雷,留下国内口服减肥药“Follow们”在风中凌乱
6月26日晚制药巨头辉瑞表示,公司将停止开发其尚处于临床试验阶段的肥胖症和糖尿病药物Lotiglipron,将把重点放在另一种口服减肥药物Danuglipron上,原因是Lotiglipron中期临床研究中服用该药的患者转氨酶升高。
转氨酶升高是判断肝细胞受损比较敏感的一项指标,多个BTK抑制剂治疗自免疾病受到该指标升高的困扰,Lotiglipron临床出现这一现象可能意味着部分患者肝细胞和肝功能受损。不过,辉瑞也表示:“没有患者出现与肝脏相关的症状或副作用,也没有患者出现肝衰竭或者需要治疗。”
目前,抛开已上市诺和诺德的口服索马鲁肽,全球口服小分子GLP-1RA领军者基本是礼来和辉瑞之争,中美华东合作的Vtv Therapeutics也在紧追临床进度,2023年4月礼来GLP-1R口服激动剂LY3502970启动III期,而辉瑞则计划等待Lotiglipron和Danuglipron二期临床均出炉择优选择最好的一个进军临床三期。
不过,从昨晚礼来的股价并没有因为辉瑞的“掉链子”而明显受益,可能市场并不认为这件事情对行业或者礼来起到正面的反馈。
01 辉瑞不乏在口服GLP-1有全军覆没的风险,礼来亦有隐忧
辉瑞公司首席执行官Albert Bourla表示:“口服小分子GLP-1RA的270亿美元的市场,辉瑞能从中占到100亿美元。”
这番话很可能源于其对公司“双子星”Danuglipron和Lotiglipron的充足信心,两者结构差异并不算太大。
(图源:氨基观察)
据悉,Lotiglipron(PF-07081532)是在Danuglipron基础上优化的分子,具有更长的半衰期,患者每天只需要口服一次,而后者需要每天口服两次。
2023年5月,Danuglipron率先公布了亮眼的数据:在通过对411名患有2型糖尿病的成年人进行的二期临床研究发现,所有剂量的Danuglipron均显著降低患者的HbA1c和空腹血糖水平,且服用120毫克Danuglipron的患者在16周内体重减轻了约10磅。
相比之下,已有索马鲁肽的三期临床结果显示:接受1mg注射剂的成年人在30周内平均减重约9.9磅;这可能意味着Danuglipron的减重效果能够媲美索马鲁肽,而且起效更快。
不过需要注意的是,尽管Danuglipron在减重的表现上比索马鲁肽的表现更好;但在降低血糖方面,Danuglipron没有一个剂量能比得上高剂量组(14mg)的索玛鲁肽片剂。
Danuglipron在安全性上也有隐忧,无论是在糖尿病还是肥胖适应症上,二期数据均展现了不小的安全性风险;在高剂量80mg-200mg治疗下,糖尿病2a期试验中分别有高达29%和22%的患者出现呕吐和腹泻,由于这个剂量窗中是唯一可以媲美索玛鲁肽片剂效果的剂量,所以选择治疗窗口将受到考验;而在肥胖适应症中,46%的人在接受200mg治疗后出现呕吐。
另外,在已有的三个II期临床数据中,Danuglipron均有增加患者舒张压的趋势,也有增加转氨酶的倾向。
视角转向礼来,其GLP-1R口服激动剂LY3502970并非没有隐忧。
在2022年10月礼来公布的临床一期结果显示:安全性方面,LY3502970组最常报告的治疗中出现的不良事件是恶心(47.1%)、食欲下降(45.1%)和呕吐(43.1%)。不过,这些发生在治疗早期,并随着时间的推移而减少,亦没有相关的肝脏异常和严重不良事件。
02 小分子GLP-1的安全风险机理未明,但巨头笃定这个方向
辉瑞小分子GLP-1RA的毒性尚未有明确的机理数据作为支撑,过往小分子GLP-1RA一直被业界视为是“高效低毒”的优解。
全球已上市的GLP-1RA几乎均为大分子多肽药物,需皮下注射,存在着用药依从性差、产能低、治疗成本高等限制;而小分子药物因其口服使用便捷、易于生产、价格低廉等优势,无疑能够弥补肽类药物的缺点。所以,小分子GLP-1RA药物成为各大制药巨头争先布局的对象。
(图源:氨基观察)
2019年,诺和诺德的口服索马鲁肽Rybelsus率先上市,成为全球第一款获得FDA批准的口服GLP-1RA。
据资料显示,Rybelsus是将索马鲁肽与名为SNAC的小分子吸收增强剂一起构成的口服配方,SNAC基于它的亲脂性,能够嵌入到细胞膜上,帮助索马鲁肽和SNAC被细胞快速吸收,这一配方让索马鲁肽达到足够的口服生物利用度。另外,SNAC在胃部的溶解能够在局部提高环境的pH值,这不但能够提高索马鲁肽的溶解度,而且能够防止索马鲁肽被胃中的肽酶降解。
相较于目前的多肽药物,小分子GLP-1RA如果能够做到“等效低毒”,无疑能够为大药厂们赚取更大的利润空间。
前段时间,诺和诺德因司美格鲁肽产能不足,随后多次宣布增加投资扩建或新建其在丹麦卡伦堡、Bagsvaerd和美国克莱顿的工厂,用以提升原料药的产能以及组装和包装的能力。
不过,多肽的工艺要求较高,单一合成釜产量较小(如固相合成大部分在1000L以下),因此司美格鲁肽全球供应紧张的问题并未解决。
而反观小分子药物,大多数是通过液相合成,在产能上没有固相多肽合成的限制。另外,生产项目管理也比多肽药物更有优势,成本较多肽相对可控。
03 在风中凌乱的国产“Better”们
作为小分子GLP-1RA先驱的辉瑞Lotiglipron出现问题,令国内一众“Fast Follow”或者“Me better”的玩家感到尴尬。
据猎药人俱乐部6月份的不完全统计,全球在研小分子GLP-1受体激动剂共有38款。
如果从目前国内企业进入IND临床阶段的小分子GLP-1受体激动剂统计,国内企业至少占了全球在研管线的1/3。
近日以来,能够看到越来越多的小分子GLP-1RA进入临床,包括信立泰的SAL0112片、苏州康宁杰瑞融合蛋白KN056、海思科HSK34890片等。
国内在研口服小分子GLP-1R激动剂厂商
昨晚辉瑞Lotiglipron失利,更有业内人士戏称:“国内可能先发Follow辉瑞口服GLP-1的反倒落入下风,Follow慢的可以转向礼来了。”
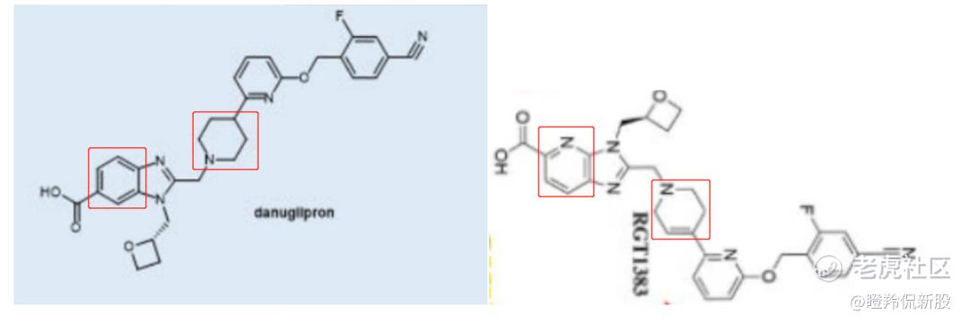
要说国内最尴尬的小分子GLP-1研发厂商是谁,无疑是早前就陷入舆论风波的齐鲁锐格医药。
辉瑞在2022年初就对锐格医药两创始人邱夏杨和钟敏提起诉讼,称两人在辉瑞任职期间创立了锐格医药,并涉嫌窃取辉瑞正在开发的胰高血糖素样肽1(GLP-1)药物相关的商业机密。随即,锐格医药积极展开答辩和反诉。
不过据材料显示,上海药物研究所&齐鲁锐格医药合作研发的小分子RGT1383(WO2020207474A1申请日20200410中的化合物289),结构与Danuglipron的确有相似之处。
(图源:氨基财经&医药速览)
查阅锐格医药官网,公司成立已经启动了超过15个发现项目。以管线进度看,两款GLP-1RAs研发进度最快,两者均为小分子口服药。
结语:据业内人士表示,消费者对于小分子GLP-1RA恶心呕吐(非长远不可逆)的忍耐度可能超出市场想象,如果没有其他新增较大的副作用,不会影响小分子GLP-1RA的市场空间和两巨头管线的顺利上市。
至于国内小分子GLP-1RA玩家们,真正检验临床执行力和改良技术的“内卷战”要来了。 $辉瑞(PFE)$ $信达生物(01801)$ $恒瑞医药(600276)$
免责声明:上述内容仅代表发帖人个人观点,不构成本平台的任何投资建议。


